近期,工程热物理所先进燃气轮机实验室研究人员在涡轮叶片干摩擦阻尼减振动力学特性研究中取得新进展。涡轮叶片的工作环境十分恶劣,在高速旋转的同时还受到高温高压气流的冲击,使其承受较高的离心负荷、气动负荷、振动负荷和热负荷。而振动导致的叶片高周疲劳问题尤为突出,成为发动机失效问题中最主要的一种。干摩擦阻尼结构利用叶片振动时接触面间的摩擦作用将振动过程中的机械能转化为热能消耗,从而达到振动抑制的作用。因其结构简单、减振效果显著,得到了广泛的应用。但针对工程应用中出现的新形式的阻尼结构,其阻尼效果差异以及动力学特性亟待研究。
可以看到,图1(a)、(b)分别为某型号燃气轮机的双层阻尼结构模型图以及结构特征简化模型图,与一般的缘板阻尼结构不同,该结构在缘板凹槽位置①处存在一处干摩擦阻尼装置,当叶片旋转时,依靠自身的离心力使得阻尼器摩擦接触面压紧,产生摩擦阻尼作用;在榫根靠上的位置②处做了凸起处理,施加了另一处干摩擦阻尼装置,该位置处的阻尼结构不仅起到了摩擦减振的作用,同时能够依靠后部位置处的封严结构进行气体封严。为了模拟叶片缘板与阻尼器接触点之间的摩擦界面,将传统的微滑动摩擦模型(图2)进行拓展,形成了整体-局部统一滑动模型以对滑动过程进行更加全面的描述。对摩擦接触过程进行仿真得到了不同滑动状态下的摩擦力位移迟滞曲线如图3。
带干摩擦阻尼结构振动的响应求解过程利用了多程序协调求解,因目前的有限元无法独立的处理干摩擦过程中涉及的非线性问题,所以需开展分析程序的二次开发。结合APDL参数化语言以及MATLAB软件实现对结构附加双层干摩擦阻尼器后振动响应的求解。
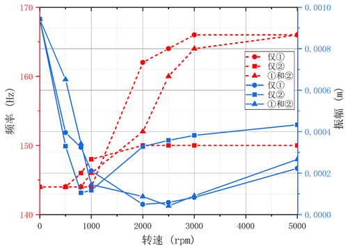
对振动过程中影响阻尼效果的关键参数即转速和激振力进行了研究。当转速发生变化时,不同位置处的阻尼作用时均存在最优转速使其阻尼效果最好且双层阻尼的存在使系统在更高的转速下达到更好的阻尼效果(图4)。对于外激励变化的系统来说,仅②阻尼存在时系统峰值响应变化更加敏感;①和②双层阻尼的存在使得系统可以在更大的外激励变化范围内保持较小的峰值变化(图5)。本研究对阻尼结构的减振机理以及双层阻尼结构的减振特性进行分析,对摩擦接触模型进行了发展,为带干摩擦阻尼器的叶片系统振动响应求解提供了计算方法,同时为双层阻尼结构的分析设计提供了指导。
以上研究得到国家科技重大专项(2017-IV-0002-0039)经费资助,相关成果在期刊《振动与冲击》发表。

图1 双层阻尼结构模型图

图2 滑动模型

图3 摩擦力-位移迟滞曲线仿真

图4 不同阻尼作用时转速-频率/振幅曲线

图5 不同激振力下三种阻尼状态时的幅频曲线




